Fish can regulate cellular membrane fluidity in response to temperature changes by restructuring membrane lipid composition. The present study simultaneously evaluated the effect of diet and temperature on liver membrane fluidity in steelhead trout, an important aquaculture species. Adult steelhead trout (Oncorhynchus mykiss ) were fed three commercial diets with different levels (30-40% of total fatty acids) of PUFA (lower ω 3- L-ω3; medium ω3- M-ω3; higher ω3- H-ω3) from different sources (marine, terrestrial and vegetable oil); the effect of temperature changes (from 13.5°C to 18.0°C and back to 13.5°C) on liver cell membrane fluidity was measured.
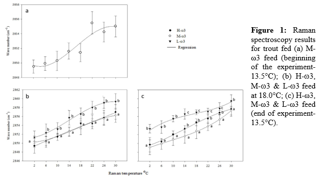
Fish fed the H-ω 3 diet had the most linear response in Raman spectroscopy; this indicated that H-ω 3 fed fish can quickly adapt to changes in environmental temperature with the least affect on liver membrane physical properties, due to the higher polyunsaturate: saturate ratio in the diet counteracting the rigidifying influence of low temperature. L-ω 3 fed fish presented increased membrane fluidity at both temperatures (13.5 and 18.0°C), highlighting the influence of terrestrial fatty acids on the physical properties of the membrane. These results underscore changes in sterol: phospholipid ratios as a key response for membrane adaptability to environmental changes, as well as the necessity to include environmental variables when testing new diet formulations. Substitution of fish oil with vegetable oils may compromise sterol: phospholipid ratios, affecting the membrane adaptability to temperature. This study provides evidence of changes at the cellular level in liver tissue for fish fed different diets and subjected to different water temperatures.
